速報!高校求人・求職状況データ<求人倍率 全国版>9月
![]()
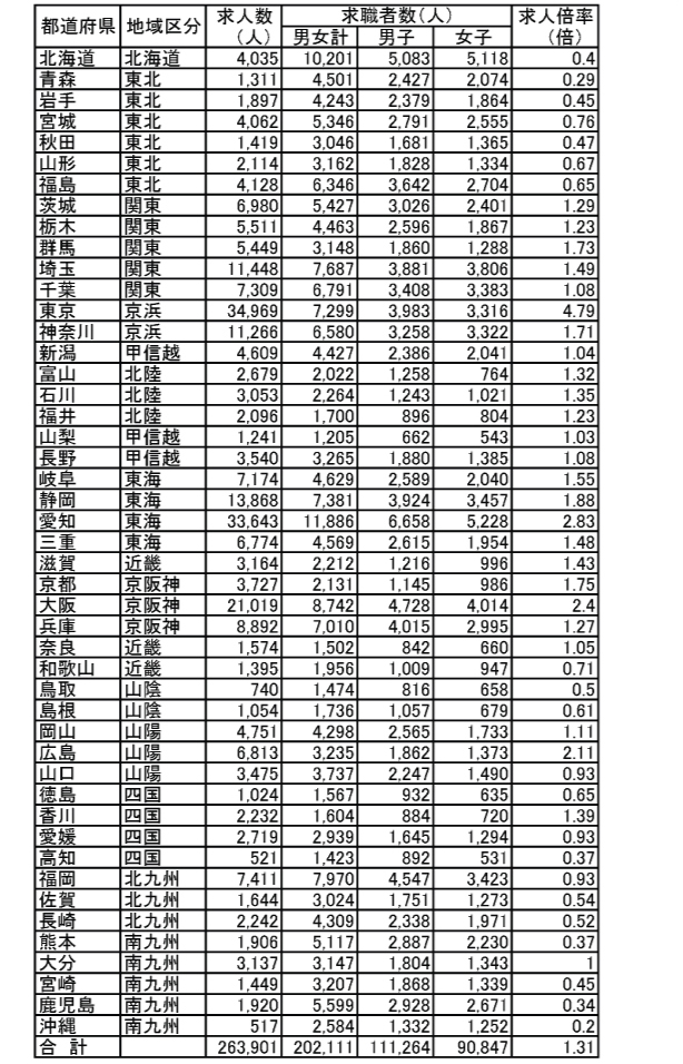
【速報!今年度の高校求人・求職状況・求人倍率データ2009】<厚生労働省データ参照>
①求人数は26万4千人で、前年同期に比べ0.2%減少。
②求職者数は20万2千人で、前年同期に比べ1.2%減少。
③求人倍率は1.31倍となり、前年同期を0.02ポイント上回る。

■高校新卒者の都道府県別求人・求職状況・求人倍率(平成20年7月末日現在)

※上記の求職者数とは学校又は、公共職業安定所(職安・ハローワーク)の紹介を希望する者のみの数
【「売り手市場」はいつまで続く?大手メーカー求人数増加傾向!】
今年度の求人・就職状況は、7月末現在で上記の通り発表されました。
求人数は0.2%減となりましたが、求人倍率は、昨年同時期同様に1倍を上回り、昨年に続き上向き状態であると言えるのではないでしょうか。
この売手市場が続いている現象の一つとして、昨年から動き出した団塊世代の大量退職に備えて、若年層に技能を引き継いでいくという動きが活発になっている企業が増えているということがあげられます。
企業側からすると、特に高卒採用に新規で動き出した企業も増えているのですが、業種によっては各学校へ挨拶に伺っても、無下に対応されてしまったり、9月の一次選考において、応募が少なく採用予定数に満たない企業も増えているのが実情です。
都道府県別に求人倍率からみても都市部の求人数が多く、地域によっては生徒が地元就職をしたくても、選択数が少ないというのも上記の表からみてわかります。
10月に入り就職先が未定の生徒さんが、早期に内定を得たいという気持ちが強いかと思いますが、各企業の人事の方からは「焦ることなく、自分の本当にやりたい事を良く考えて企業選択をして欲しい。」という意見も多く聞きます。
今一度、未内定の生徒さんたちは、自分を見つめ直し改めて自己分析を行なうことが、これからの就職活動の第一歩になるのかもしれません。






